Предмет: Математика,
автор: zaechka45
Решите систему уравнений!
2 уравнения, первое на картинке , другое :
3x-2y=11
4x-5y=3
уравнения с двумя неизвестными. Можно выражать через a,c,b
срочнооо
Приложения:
Ответы
Автор ответа:
1
3x-2y=11 (умножим на 5)
4x-5y=3 (умножим на -2)
15х-10у=55
-8х+10у=-6
7х = 49; х=7.
3*7-2у=11; 21-2у=11" 2у=10; у=5
Ответ: (7; 5)
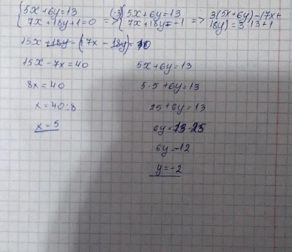
5х+6у=13 (умножим на 7)
7х+18у=-1 (умножим на -5)
35х+42у=91
-35х-90у=5
-48у=96; у=-2
5х+6(-2)=13; 5х-12=13; 5х=25; х=5
Ответ: (5; -2)
Автор ответа:
0
Ответ:
Ответ дан на фотографии
Приложения:
Похожие вопросы
Предмет: Математика,
автор: dergachevalisa
Предмет: Русский язык,
автор: Аноним
Предмет: Литература,
автор: Перевёртышка
Предмет: Математика,
автор: 00007611
Предмет: Русский язык,
автор: KJLHFJ