Предмет: Алгебра,
автор: misivhristina9
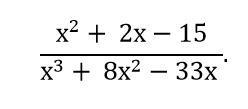
Скоротіть дріб, УМОЛЯЮЮЮ СРОЧНООО!!!!!!
Приложения:
Ответы
Автор ответа:
0
Ответ:
так
Объяснение:
Приложения:
Похожие вопросы
Предмет: Математика,
автор: ананана2
Предмет: Другие предметы,
автор: Formula21
Предмет: Русский язык,
автор: JIOTTATA
Предмет: Алгебра,
автор: gamerciklop
Предмет: Математика,
автор: mila12111