Предмет: Алгебра, автор: lisamakarova200

показательное уравнение плззз

Приложения:

Ответы

Автор ответа: Universalka
2

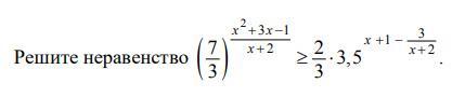
(\frac{7}{3})^{\frac{x^{2}+3x-1 }{x+2} }\geq\frac{2}{3}*3,5^{x+1-\frac{3}{x+2} } \\\\(\frac{7}{3})^{\frac{x^{2}+3x-1 }{x+2} }\geq\frac{2}{3}*(\frac{7}{2})^{\frac{x^{2}+2x+x+2-3 }{x+2}}\\\\(\frac{7}{3})^{\frac{x^{2}+3x-1 }{x+2} }\geq\frac{2}{3}*(\frac{7}{2})^{\frac{x^{2}+3x-1 }{x+2} }|:(\frac{7}{2} )^{\frac{x^{2}+3x-1 }{x+2} } >0\\\\(\frac{7}{3}*\frac{2}{7})^{\frac{x^{2}+3x-1 }{x+2} }\geq\frac{2}{3}\\\\(\frac{2}{3})^{\frac{x^{2}+3x-1 }{x+2} }\geq\frac{2}{3}

0<\frac{2}{3} <1 \ \Rightarrow \ \frac{x^{2}+3x-1 }{x+2} \leq 1\\\\\frac{x^{2}+3x-1 }{x+2}-\frac{x+2}{x+2} \leq0\\\\\frac{x^{2}+3x-1-x-2 }{x+2}\leq 0\\\\\frac{x^{2}+2x-3 }{x+2} \leq 0\\\\\frac{(x+3)(x-1)}{x+2} \leq0

    -                   +                  -                  +

______[- 3]_______(-2)_______[1]______

////////////////                  ///////////////////

Ответ : x ∈ (- ∞ ; - 3] ∪ (2 ; 1]


life092: помогите пожалуйста мне тоже
Похожие вопросы
Предмет: Математика, автор: 68fatima68
Предмет: Русский язык, автор: 456745674567