Предмет: Математика,
автор: sutxmx77mz
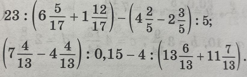
СРОЧНО ПОМОГИТЕ РЕШИТЬ !!!!!!! Даю 40 БАЛЛОВ
Приложения:
Ответы
Автор ответа:
0
Ответ:В первой выходит 1 3/40
Если не ошибаюсь
Пошаговое объяснение:
Похожие вопросы
Предмет: Литература,
автор: ангел0604
Предмет: Алгебра,
автор: dashaff
Предмет: Математика,
автор: catcat131
Предмет: Английский язык,
автор: lenchoys8686
Предмет: Английский язык,
автор: Анастасия20065акласс