Предмет: Алгебра,
автор: ilona112806
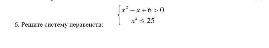
Решите систему неравенств
Приложения:
DKonkovMC:
А каким именно спосабом?
Ответы
Автор ответа:
0
Объяснение:
Xменьше или рабен 5
Похожие вопросы
Предмет: Обществознание,
автор: Аноним
Предмет: Русский язык,
автор: elvinaosmanova
Предмет: Английский язык,
автор: arazaliev
Предмет: Геометрия,
автор: yelyzavetashyl
Предмет: Алгебра,
автор: Аноним