Предмет: Алгебра,
автор: hsuga
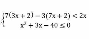
Решите систему неравенства: 7(3x+2)-3(7x+2)<2x
x^2+3x-40≤0.
Приложения:
Ответы
Автор ответа:
10
Ответ:
Объяснение:
!!!!!!!!!!!!!!!!!!!!
Приложения:
ahanovalika:
правильно?
Это верное решение?
Правильно? Просто кто-то тоже спрашивал,ответ дали,а вышло (4;5],причем с полностью другим решением
Я чисто,ради интервалов тут.А оригинал я списал с другого ответа
правильно?
дай оригинал плз
Похожие вопросы
Предмет: Математика,
автор: таська25
Предмет: Русский язык,
автор: мурик4
Предмет: Русский язык,
автор: Таныгена
Предмет: Русский язык,
автор: ABnax
Предмет: Математика,
автор: alenashkineva