Предмет: Математика,
автор: erubaevaeleonora44
пж помогите прошу у меня соч
Приложения:
Ответы
Автор ответа:
0
Ответ:
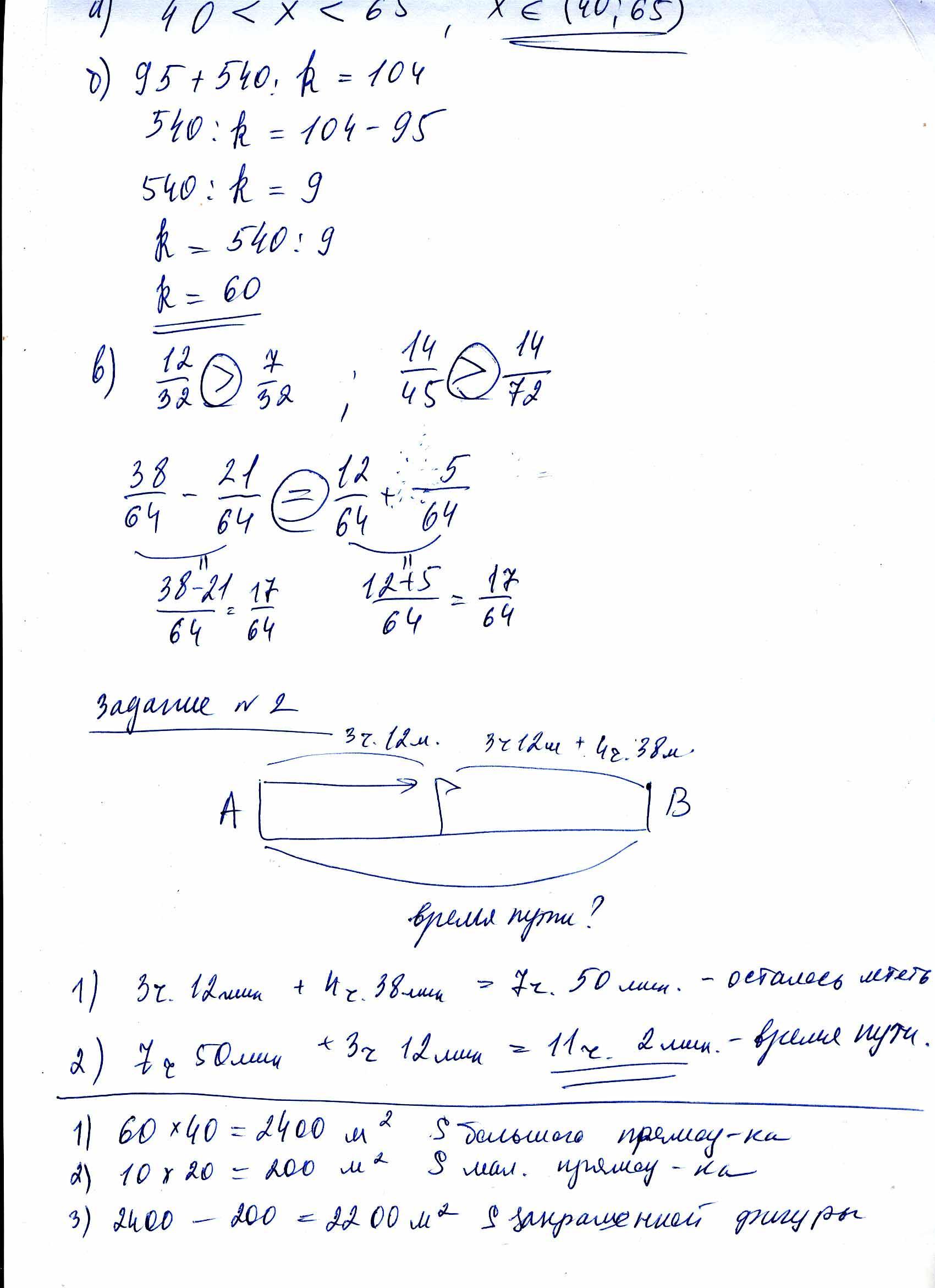
1а) множество решений х∈ (40;65)
далее смотри ниже
Пошаговое объяснение:
решение в приложении
Приложения:
Похожие вопросы
Предмет: Русский язык,
автор: vtarezvie
Предмет: Русский язык,
автор: markowka2006
Предмет: Математика,
автор: Osminog16122005O
Предмет: Химия,
автор: кшкжш