Предмет: Математика, автор: asushkova17

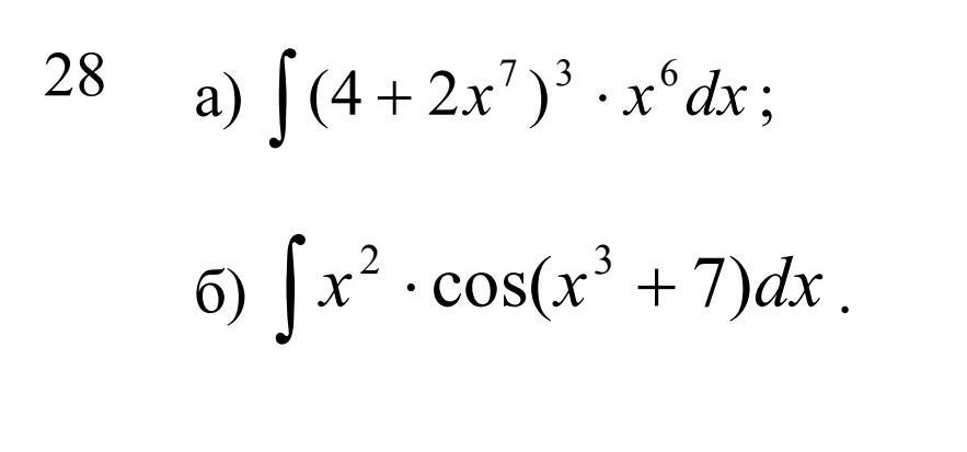
Вычислите неопределённые интегралы с помощью замены переменной: ​

Приложения:

Ответы

Автор ответа: Miroslava227
1

Ответ:

а

Замена:

4 + 2 {x}^{7}  = t \\ 14 {x}^{6} dx = dt \\  {x}^{6}dx  =  \frac{dt}{14}  \\  \\  \frac{1}{14} \int\limits {t}^{3} dt =  \frac{1}{14}  \times  \frac{ {t}^{4} }{4} +  C =  \frac{ {(4 + 2 {x}^{7}) }^{4} }{56} +  C

б

Замена:

 {x}^{3}  + 7 = t \\ 3 {x}^{2} dx = dt \\  {x}^{2}dx  =  \frac{dt}{3}  \\  \\  \frac{1}{3} \int\limits \cos(t) dt =  \frac{1}{3}  \sin(t)  + C =  \frac{1}{3}  \sin( {x}^{3}  + 7) +  C

Похожие вопросы