Предмет: Алгебра,
автор: vaktar72
ПОМОГИТЕ ДАЮ 36 БАЛЛОВ! СРОЧНО
Приложения:
Ответы
Автор ответа:
0
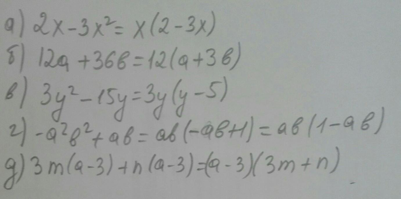
Ответ:
решения на фото с ответом
Приложения:
Автор ответа:
1
.........................
Приложения:
Похожие вопросы
Предмет: Математика,
автор: andrejdrugov57
Предмет: Алгебра,
автор: 3ddwardd
Предмет: Алгебра,
автор: Гаухар01
Предмет: Химия,
автор: alinochka12012003