Предмет: Математика,
автор: ominaabdukadirova860
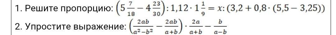
задание на фото, задание 1
Приложения:
Ответы
Автор ответа:
2
Пошаговое объяснение:
решение на фото на фото на фото
Приложения:
ominaabdukadirova860:
спасибо большое ❤️
рада что помогла)
Похожие вопросы
Предмет: Русский язык,
автор: arahach
Предмет: Немецкий язык,
автор: LadYBrilliant94
Предмет: Русский язык,
автор: druziaura
Предмет: Другие предметы,
автор: AlinaSh2018