Предмет: Алгебра,
автор: albinacencenko707
Помогите пожалуйста решить. Очень срочно нужна..
И пожалуйста очень прошу обяснение поэтапное
Приложения:
Ответы
Автор ответа:
1
Ответ:
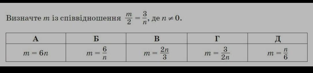
Б) m =
Объяснение:
Решение
1) Дана пропорция:
m : 2 = 3 : n
2) Согласно основному свойству пропорции, произведение средних членов пропорции равно произведению крайних, то есть:
m · n = 2 · 3
или
m · n = 6
3) В полученном выражении m является сомножителем, поэтому задача выразить m сводится к тому, как выразить неизвестный сомножитель, если известно произведение (6) и другой сомножитель (n). Чтобы найти неизвестный сомножитель (m), надо произведение (6) разделить на известный сомножитель (n):
m = 6 : n
или в виде дроби:
m =
Ответ: Б) m =
albinacencenko707:
Благадарю
Спасибо за Лучший ответ!!!)))
Похожие вопросы
Предмет: Математика,
автор: Nastya9013
Предмет: Русский язык,
автор: nigarrzayeva1
Предмет: Русский язык,
автор: aijankulman
Предмет: Русский язык,
автор: Каринка20
Предмет: Другие предметы,
автор: lizabukreewa0