Предмет: Алгебра,
автор: Lol20653
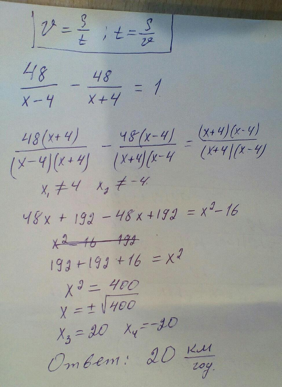
Відстань 48 км катер подолав за
течією річки на 1 год швидше,
ніж проти течії. Швидкість течії
річки 4 км/год. Знайдіть власну
швидкість катера. (Відповідь
подати у вигляді числа із
одиницею вимірювання (між
числом та одиницею вимірювання
пропуск)
Введіть відповідь
Введіть відповідь...
Приложения:
Ответы
Автор ответа:
1
Ответ: 20 км/час, см фото.
Объяснение:
Приложения:
Автор ответа:
2
Ответ:
..............................................
Приложения:
Похожие вопросы
Предмет: Алгебра,
автор: pattramov
Предмет: Алгебра,
автор: elchishheva49
Предмет: Окружающий мир,
автор: ladytoshchakov
Предмет: Окружающий мир,
автор: Анастасия6742х
Предмет: Українська мова,
автор: Аня13495