Предмет: Алгебра,
автор: izabela8
помогите пожалуйста, решите на листочке с объяснением. буду очень благодарна!!
Приложения:
Ответы
Автор ответа:
0
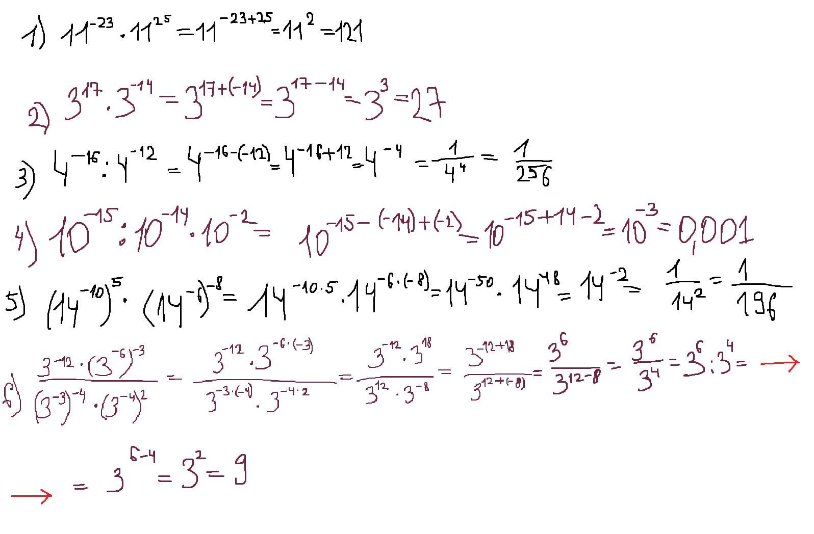
Ответ:
Объяснение:
При умножении степени складываются, при делении вычитаются
Приложения:
izabela8:
СПАСИБО ТЕБЕ ОГРОМНОЕ ЗА ПОМОЩЬ!!! ТЫ МНЕ ОЧЕНЬ ПОМОГ(ЛА)
Автор ответа:
0
Ответ:
1 фото - решение
2, 3 фото - памятки
Объяснение:
Приложения:
Похожие вопросы
Предмет: Русский язык,
автор: Kamar9090
Предмет: Русский язык,
автор: георгий38
Предмет: Английский язык,
автор: полина2377
Предмет: Алгебра,
автор: яяяяяяяяяяяяяя22222
Предмет: Математика,
автор: Jana111222