Предмет: Математика,
автор: Аноним
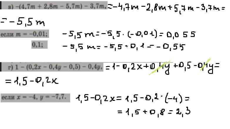
подробное решение плиз
Приложения:
Ответы
Автор ответа:
1
Если понравилось решение - нажимай "спасибо" и "лучший" (рядом с кнопкой "спасибо") :)
Приложения:
Похожие вопросы
Предмет: Химия,
автор: 85632
Предмет: Математика,
автор: roddom
Предмет: Информатика,
автор: DELISHES
Предмет: Химия,
автор: rerey
Предмет: Математика,
автор: Alisalisa23568