Предмет: Математика,
автор: 029ny0924ny09
35 баллов даю! Лёгкий вопрос! Помогите прошу!
Приложения:
Ответы
Автор ответа:
0
Ответ: E) 5
Пошаговое объяснение:
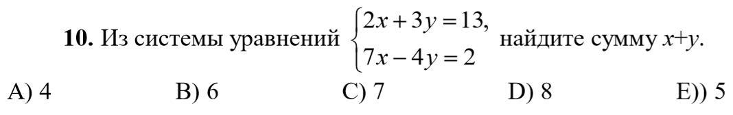
{2x + 3y = 13
{7x - 4y = 2
=============
2x = 13 - 3y
x = 6,5-1,5y
============ Подставляем икс под второе уравнение из системы
7(6,5 -1,5y) -4y = 2
45,5 - 10,5y - 4y = 2
45,5 - 14,5y =2
14,5y = 45,5 -2
14,5y = 43,5
y = 43,5 / 14,5
y = 3
======== дальше просто подставляем
x = 6,5 -1,5y
x = 6,5 - 1,5 * 3
x = 6,5 - 4,5
x = 2
++++++++++++++++++++++
x + y = 2 + 3 = 5
ruslana770614:
«============ Подставляем икс в любое уравнение из системы», только не в любое, а во второе, если подставим в первое, получим 0=0 и не найдем значение у.
да ошибся) спасибо!
подправил
Автор ответа:
0
умножим первое на 4, второе на 3 и сложим
8х+12у=52
21х-12у=6
____________29х=58, откуда х=2, тогда у=(13-2х)/3=(13-4)/3=3
значит, х+у=2+3=5
Верный ответ Е) 5
Похожие вопросы
Предмет: Французский язык,
автор: lizaKreker
Предмет: Русский язык,
автор: LIVELUVEjs
Предмет: Русский язык,
автор: Sea1151
Предмет: Биология,
автор: Volosyaekb
Предмет: Биология,
автор: medoarafa30p7434y