Предмет: Алгебра,
автор: ievlevandrey6
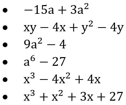
Разложите многочлены на множители
если можно письменно
Приложения:
Ответы
Автор ответа:
1
Ответ:
Разложите многочлены на множители
Приложения:
Похожие вопросы
Предмет: Русский язык,
автор: Аноним
Предмет: Окружающий мир,
автор: Аноним
Предмет: Английский язык,
автор: Аноним
Предмет: Обществознание,
автор: АннаАхматова