Предмет: Алгебра,
автор: Vvvvvvvcvvvvvvshsidi
Пж, кто шарит, помогите решить алгебру
Приложения:
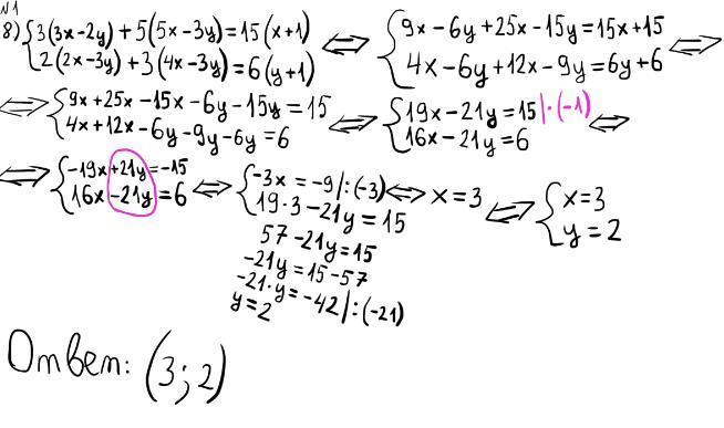
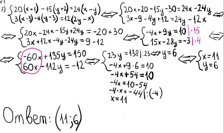
Ответы
Автор ответа:
0
Прости, как решать второе задание забыла
Приложения:
Похожие вопросы
Предмет: Русский язык,
автор: ПростоЯИлиЯАноним
Предмет: Русский язык,
автор: karina15102003
Предмет: Русский язык,
автор: 067Milana670
Предмет: Математика,
автор: dinusja14