Предмет: Алгебра,
автор: svaundenis
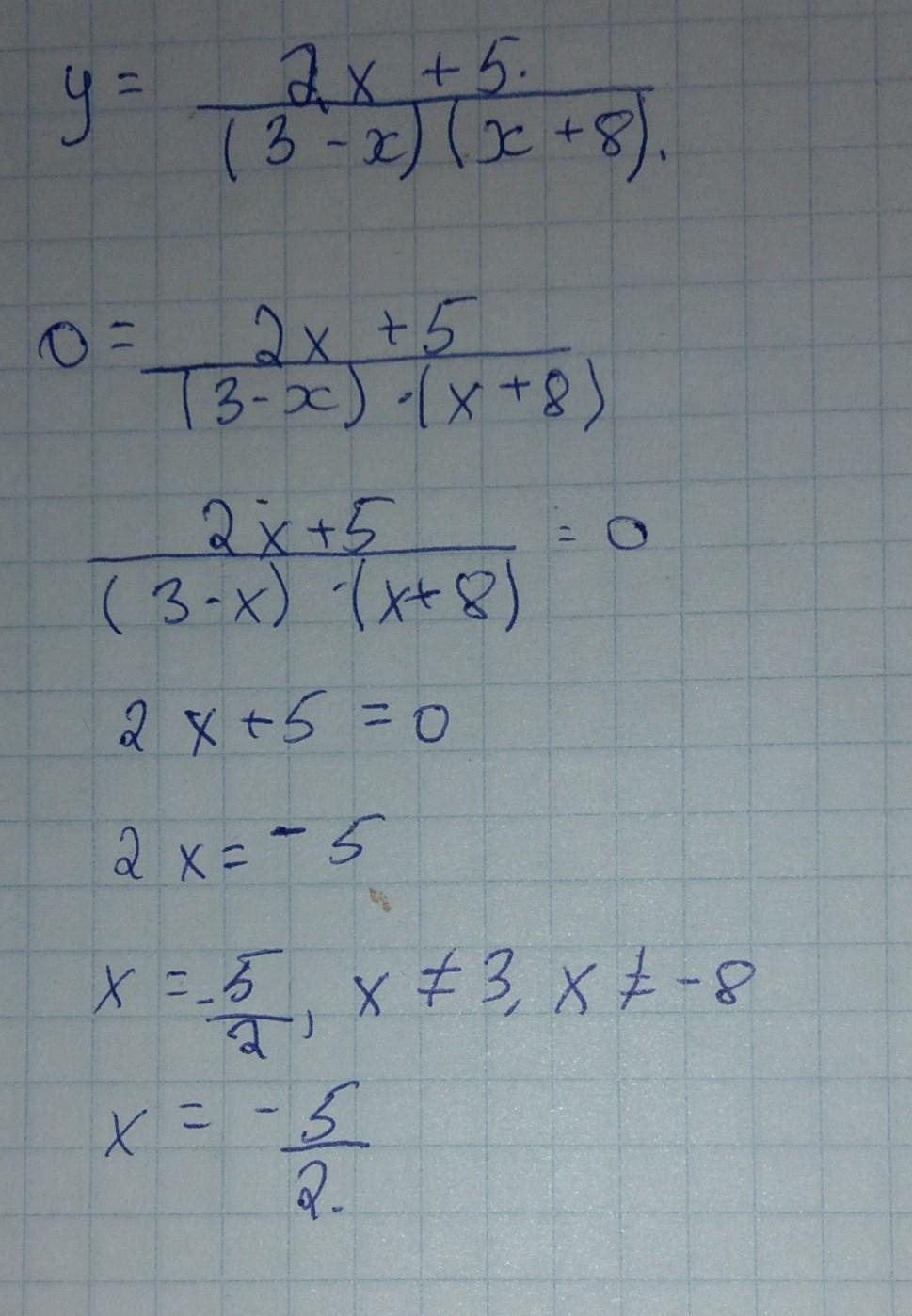
Знайдіть область визначення функції яку заданої формулою
Приложения:
Ответы
Автор ответа:
6
Ответ:
на фото есть решение.
Объяснение:
удачи........
Приложения:
Похожие вопросы
Предмет: Английский язык,
автор: красотка821
Предмет: Немецкий язык,
автор: david010301
Предмет: Русский язык,
автор: ste6
Предмет: Математика,
автор: ANN27012