Предмет: Алгебра,
автор: tleukinaelmira
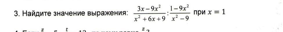
Срочно Срочно 30 балл
Приложения:
Ответы
Автор ответа:
1
Ответ:
......................
Приложения:
Похожие вопросы
Предмет: Русский язык,
автор: zaia3
Предмет: Русский язык,
автор: druwban
Предмет: Окружающий мир,
автор: Кристина20005
Предмет: Математика,
автор: soccercon1337
Предмет: Математика,
автор: ВикторияСаяпинави