Предмет: Геометрия,
автор: Никита2468
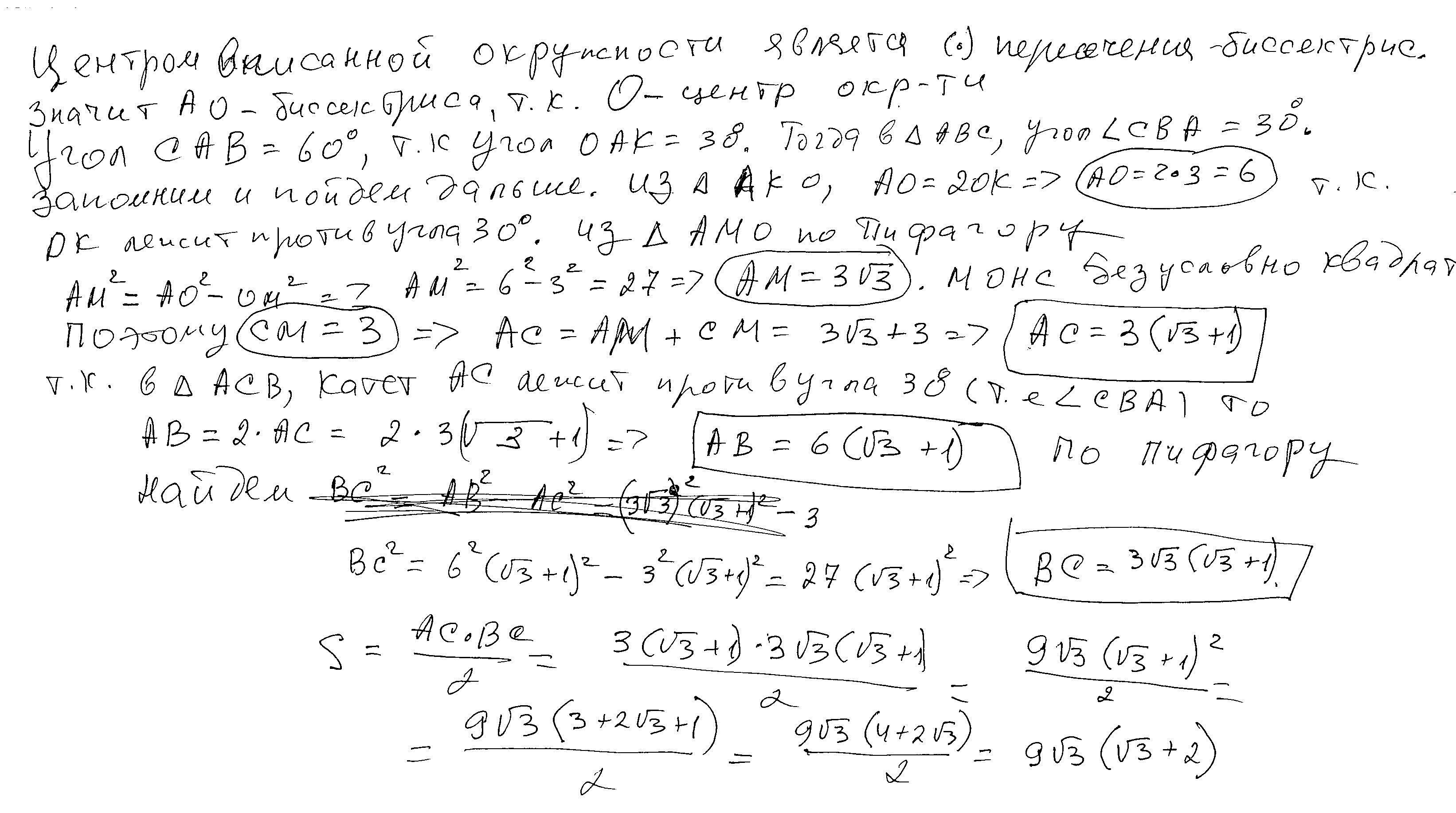
Найти площадь треугольника ABC
Приложения:
Ответы
Автор ответа:
1
Ответ:
Объяснение:
Рисунки в третьем скане
Приложения:
Похожие вопросы
Предмет: Русский язык,
автор: natasha3182
Предмет: Русский язык,
автор: Rezhepa1
Предмет: Українська література,
автор: Wikacracontolga
Предмет: Қазақ тiлi,
автор: aLiSaChAn1