Предмет: Алгебра,
автор: maxvip66610
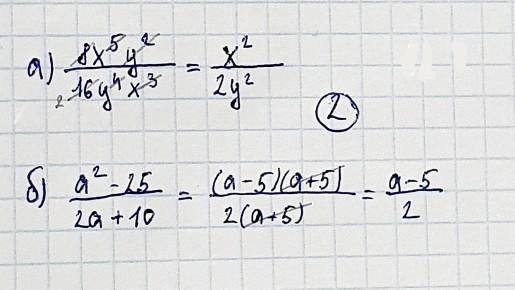
ПОМОГИТЕ ПОЖАЛУЙСТА!!! ДАЮ 20 БАЛЛОВ!!! 1. При каких значениях переменной алгебраическая дробь имеет смысл? a) 5x-3/6x-5 b) y3/y-6 c) x^2-4 2. Сократите дробь: а) 8x^5y^2/16y^4x^3 б) a^2-25/2a+10
maxvip66610:
ПОМОГИТЕ)
кто знает ответ?
Ответы
Автор ответа:
1
Ответ:
на фото
Объяснение:
в 1 с), я не поняла.
и кст, тебе не решили задания сразу, потому что мало баллов;)
Приложения:
Похожие вопросы
Предмет: Русский язык,
автор: Аноним
Предмет: Русский язык,
автор: лика163
Предмет: Английский язык,
автор: шома13
Предмет: Математика,
автор: F1shkaGANG
Предмет: Английский язык,
автор: zlata9643