Предмет: Алгебра, автор: hfhdhdjdj737372

Help помогитеее с решением

Приложения:

Ответы

Автор ответа: Бумерaнг
0

ответ:

  • 7.В
  • 8.А
  • 9.Г
  • 10.Б

объяснение:

Приложения:
Автор ответа: Аноним
0

7.Функция у=-х²+2х-3 убывает на промежутке [1;+∞) т.к. ее производная

-2х+2<0 при х>1, кроме того, эта функция непрерывна в точке х=1.

Верный ответ В

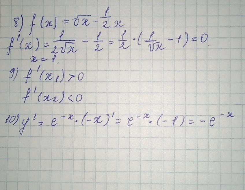
8. Критические точки - это внутренние точки области определения, в которых производная не существует или равна нулю. производная

равна 1/(2√х)-1/2, она не существует в точке х=0, хотя областью определения функции является х∈[0;+∞), однако х=0 - не является критической, т.к. она не является внутренней точкой области определения.  1/(2√х)-1/2=0⇒√х=1; х=1

Верный ответ А

9. В точке х₁ функция возрастает, (здесь производная положительна), а в точке х₂ убывает (тут производная отрицательна), а всякое положительное число больше всякого отрицательного, значит, верным будет ответ Г

10.  у'=(e⁻ˣ)'=e⁻ˣ*(-x)'=-1*e⁻ˣ=-e⁻ˣ

Верный ответ Б

Похожие вопросы
Предмет: Английский язык, автор: olesia19
Предмет: Русский язык, автор: Знанияточкаком1
Предмет: Химия, автор: asushintcev