Предмет: Математика,
автор: ababagalamaga8
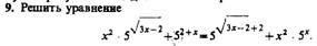
‼️Математика 10 класс помогите срочнооо пожалуйста Или же если кто-то знает с какой книги эти задачки,то скажите пожалуйста‼️
Приложения:
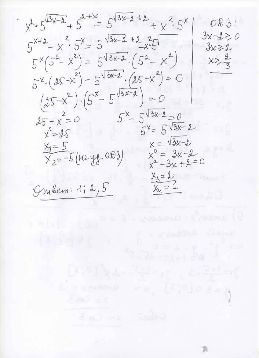
Ответы
Автор ответа:
1
Ответ:
Пошаговое объяснение:
Приложения:
Похожие вопросы
Предмет: Русский язык,
автор: nikita2001
Предмет: Русский язык,
автор: Элиси
Предмет: Русский язык,
автор: ххх18
Предмет: Математика,
автор: email88