Предмет: Математика, автор: zxeliasxz43

Нужна помощь по заданию!

Приложения:

Ответы

Автор ответа: Miroslava227
1

Ответ:

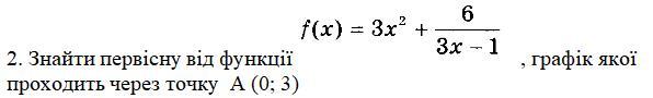
F(x) =  \int\limits(3 {x}^{2}  +  \frac{6}{3x - 1} )dx =  \int\limits3 {x}^{2} dx + \int\limits \frac{2 \times 3}{3x - 1}  dx =  \\  =  \frac{3 {x}^{3} }{3}  + 2 \int\limits \frac{d(3x - 1)}{3x - 1}  =  \\  =  {x}^{3}  + 2 ln( |3x - 1| )  + C

В точке A:

3=0+2ln(1)+C\\C=3\\\\F(x)=x^3+2ln(|3x-1|)+3

Похожие вопросы
Предмет: Русский язык, автор: Aytlaallahverdi