Предмет: Математика,
автор: darina88922
Помогите, пожалуйста решить примеры
Приложения:
Ответы
Автор ответа:
0
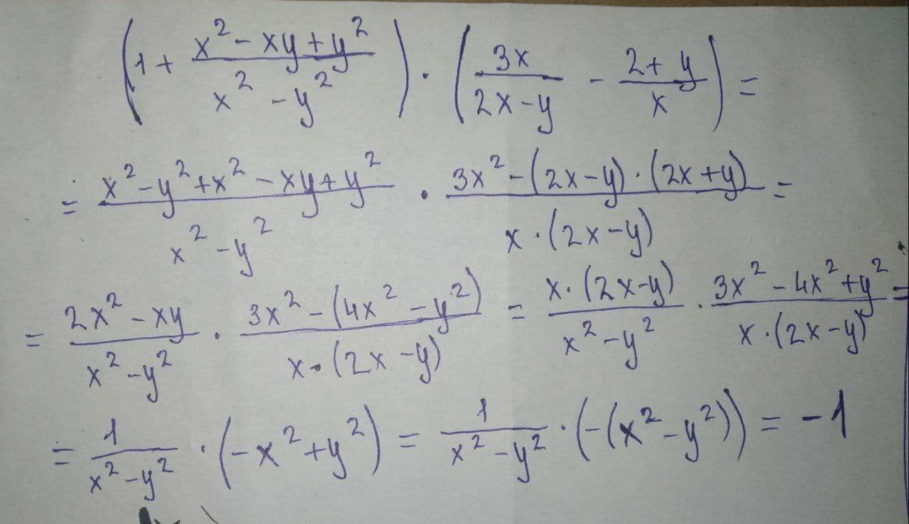
Ответ:
Пошаговое объяснение:
Приложения:
Похожие вопросы
Предмет: Русский язык,
автор: ASergei
Предмет: Русский язык,
автор: кахрик25
Предмет: Қазақ тiлi,
автор: Fras11
Предмет: Математика,
автор: KoTuK77
Предмет: Английский язык,
автор: guz8783