Предмет: Алгебра,
автор: barbaranec563
выполните действия, пожалуйста помогите
Буду благодарна :3
Приложения:
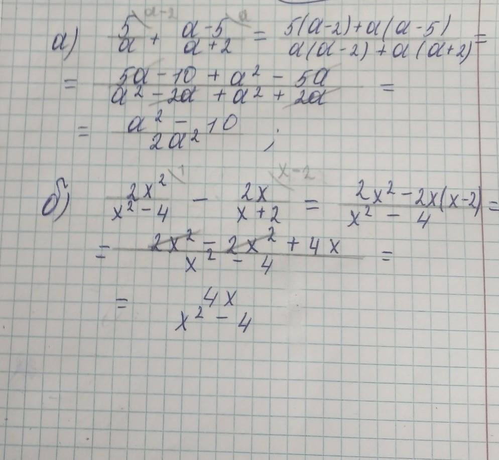
Ответы
Автор ответа:
0
Объяснение :
всё во вложении .
Приложения:
Похожие вопросы
Предмет: Русский язык,
автор: Вер0нNka
Предмет: Русский язык,
автор: prigogevstas
Предмет: Русский язык,
автор: Olli2336
Предмет: Математика,
автор: nastyagovorova5
Предмет: Русский язык,
автор: dimagalenin95