Предмет: Алгебра,
автор: kartunova89
#455(8) упрастите выражение 7 класс даю 25 баллов СРОЧНО!!!
Приложения:
Ответы
Автор ответа:
1
Ответ:
ответ вместе с решением на фото
Приложения:
kartunova89:
спасибо,помогите ещё с упражнением 456(1,3) если не сложно
Автор ответа:
1
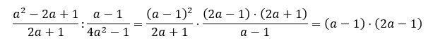
Ответ:
(a-1)·(2a-1)
Объяснение
Приложения:
спасибо,если не сложно помогите у меня в профиле с вопросами #456(1,3)
Похожие вопросы
Предмет: Окружающий мир,
автор: даша674
Предмет: Английский язык,
автор: Аноним
Предмет: Английский язык,
автор: yultaeva88
Предмет: Русский язык,
автор: TvLeo
Предмет: Биология,
автор: dinbili93