Предмет: Алгебра,
автор: Midibrain
Пожалуйста помогите с заданием Дам 50 баллов
Приложения:
Ответы
Автор ответа:
0
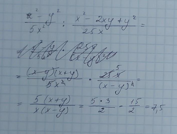
Ответ:
7.5
Если в числителе первой дроби (х^2-у^2)
Приложения:
Midibrain:
спс
Похожие вопросы
Предмет: Русский язык,
автор: Аноним
Предмет: Другие предметы,
автор: zxcvbnmmnbvcxzaq
Предмет: Русский язык,
автор: ася1402
Предмет: Математика,
автор: Калистрата