Предмет: Математика,
автор: taukebaevmarat
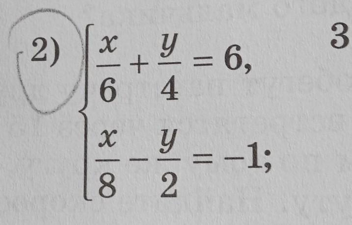
помогите пж пж пж пж пж пж помогите
Приложения:
taukebaevmarat:
помогите пж я подпишусь
Ответы
Автор ответа:
1
Ответ:
Пошаговое объяснение:
Приложения:
спасибо
Автор ответа:
1
Ответ:
Решение во вложении:
Пошаговое объяснение:
Приложения:
помогите пожалуйста в профиле есть
Похожие вопросы
Предмет: Українська мова,
автор: alicecolir62
Предмет: Русский язык,
автор: сижекас
Предмет: Английский язык,
автор: жика1
Предмет: Математика,
автор: Asi1999tka
Предмет: Русский язык,
автор: Трюфель124632