Предмет: Алгебра,
автор: denpixel322
пж помогите очень надо щяс это сделать
Приложения:
Ответы
Автор ответа:
2
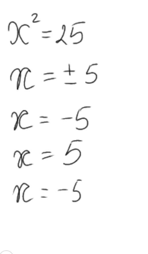
Объяснение:
)))))))))))))))))))))
Приложения:
denpixel322:
спасибо огромное
не за что?
Ничего. Все ошибаются)
Похожие вопросы
Предмет: Українська мова,
автор: киндер9
Предмет: Черчение,
автор: Аноним
Предмет: Русский язык,
автор: elenaermolenko2
Предмет: Биология,
автор: Министр1знаний