Предмет: Математика,
автор: abenovamaisa
ДАЮ 17 БАЛОВ ПОМОГИТЕ ПОЖАЛУЙСТА
Решите системы уравнений:
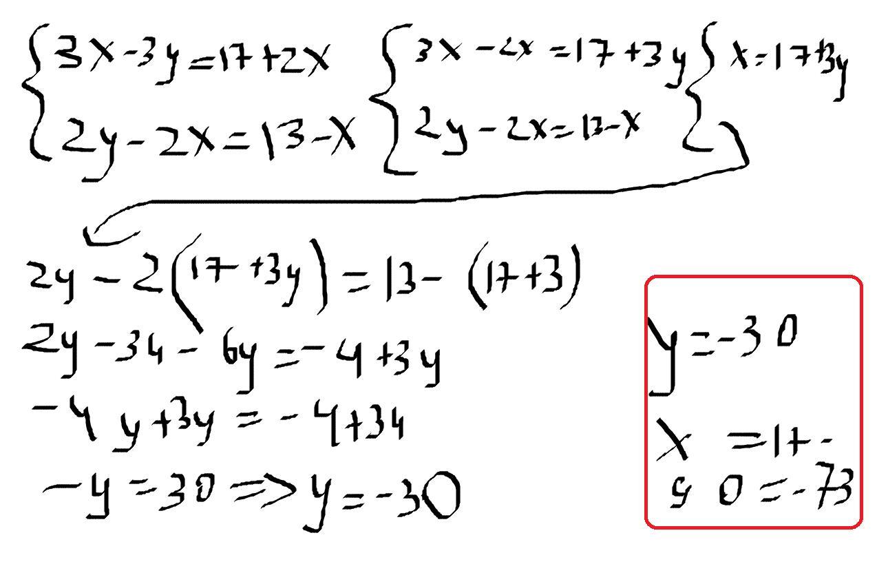
2)
3(х + y) = 4 - у;
2(y - x) = 13 - x;
Приложения:
Ответы
Автор ответа:
1
Ответ:
Пошаговое объяснение:
Приложения:
Похожие вопросы
Предмет: Русский язык,
автор: Gagara15
Предмет: Українська мова,
автор: muntynnata0609
Предмет: Русский язык,
автор: YanaBanana13
Предмет: Русский язык,
автор: lenapiskova79
Предмет: Химия,
автор: mozgavaya