Предмет: Алгебра, автор: enderpro2525

можете помочь? я не могу решить.

Приложения:

Ответы

Автор ответа: MatemaT123
0

Ответ:

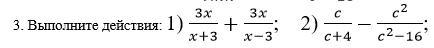
\dfrac{6x^{2}}{x^{2}-9};

\dfrac{-4c}{c^{2}-16};

Объяснение:

\dfrac{3x}{x+3}+\dfrac{3x}{x-3}=\dfrac{3x(x-3)+3x(x+3)}{(x+3)(x-3)}=\dfrac{3x^{2}-9x+3x^{2}+9x}{x^{2}-3^{2}}=\dfrac{6x^{2}}{x^{2}-9};

\dfrac{c}{c+4}-\dfrac{c^{2}}{c^{2}-16}=\dfrac{c}{c+4}-\dfrac{c^{2}}{c^{2}-4^{2}}=\dfrac{c}{c+4}-\dfrac{c^{2}}{(c-4)(c+4)}=\dfrac{c(c-4)-c^{2}}{(c-4)(c+4)}=

=\dfrac{c^{2}-4c-c^{2}}{c^{2}-16}=\dfrac{-4c}{c^{2}-16};

Похожие вопросы
Предмет: Математика, автор: Pikung8611