Предмет: Математика,
автор: ayachan1
Помогите пожалуйста с математикой
Приложения:
Ответы
Автор ответа:
1
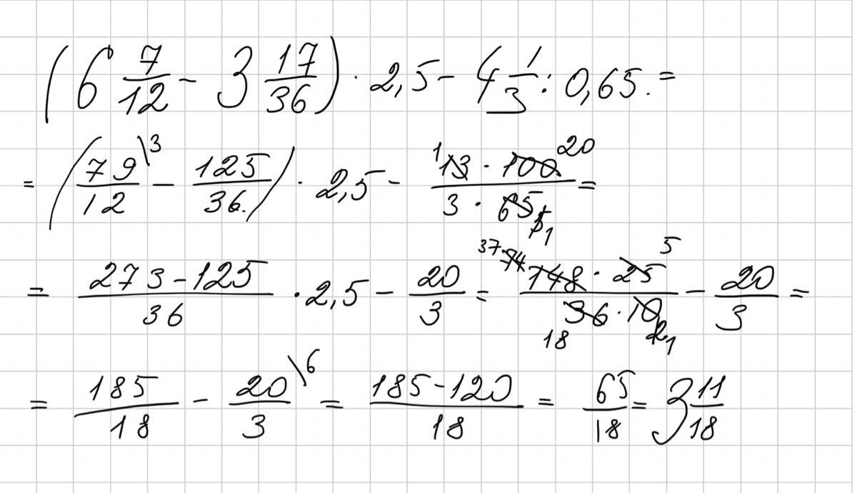
Скриншот ниже с подробным решением, если что-то непонятно то пиши
Приложения:
Похожие вопросы
Предмет: Русский язык,
автор: anzh65
Предмет: Русский язык,
автор: maks278
Предмет: Английский язык,
автор: FTimmens1
Предмет: Русский язык,
автор: milanaGadzi
Предмет: Русский язык,
автор: атём2010