Предмет: Математика, автор: maxleleka990

розвяжіть системи рівнянь . Треба очен срочно . Допоміжить ришить .!!!! !​

Приложения:

Ответы

Автор ответа: ReMiDa
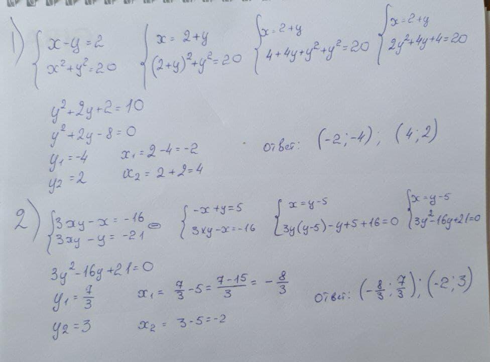
1

Ответ:

Пошаговое объяснение:

Приложения:

maxleleka990: Дякую
Автор ответа: iosiffinikov
1

1. Возведем первое в квадрат и вычтем из второго

2ху=16

Прибавим ко второму (х+у)^2=36

x+y=6  x+y=-6

В первом случае 2х=8 х=4 у=2

во втором случак х=-2 у=-4

Ответ: (4,2) или (-2,-4)

2. Вычтем из первого второе

у-х=5  у=5+х

Подставим в перое 3х*(5+х)-х+16=0

3х*х+14х+16=0

3х*х+6х+8х+16=0

3х(х+2)+8(х+2)=0

(х+2)(3х+8)=0

х1=-2, х2=-8/3

у1=3   у2=2 1/3


maxleleka990: Дякую
ReMiDa: х2= - 8/3 ! y2=7/3
iosiffinikov: спасибо
Похожие вопросы
Предмет: Русский язык, автор: Гира2016
Предмет: Биология, автор: лера2416