Предмет: Алгебра, автор: hnyssun

Выполните действия
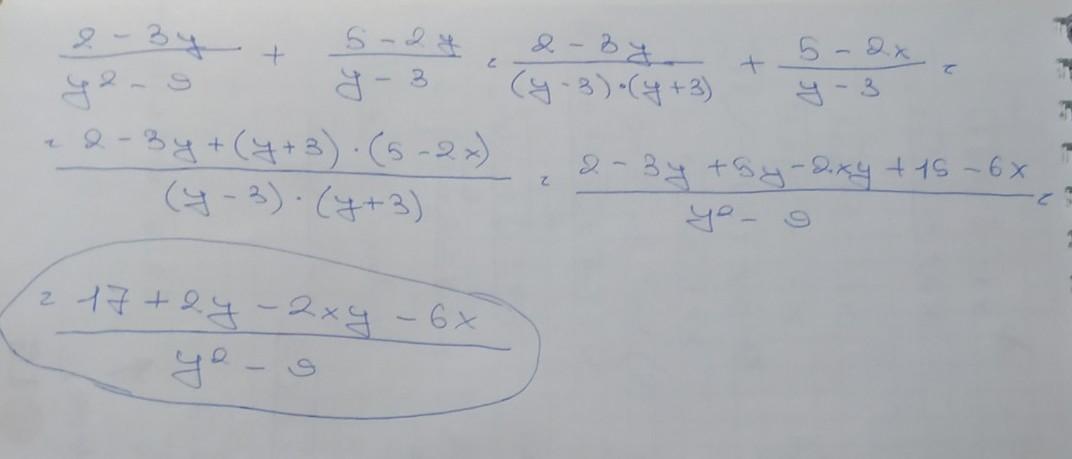
2-3y/y²-9 + 5-2y/y-3​

Приложения:

Ответы

Автор ответа: CrazyTapok227
30

Ответ:

Решение на фотографии. Если помог, отметьте пожалуйста как лучший!)

Приложения:

hnyssun: Первый ответ куда-то подевался, из-за чего я не могу сделать Ваш ответ лучшим :((
CrazyTapok227: В каком смысле первый ответ, квас дано было только "+" я и сделал это действие. И в конце стоит ответ после этого решения.
hnyssun: Я имела ввиду ответы брэинли, а не на пример по алгебре)) уже получилось поставить "лучший ответ")
CrazyTapok227: Понял, спасибо.
alinexx394: там нет x, появился у вас с воздуха. Решение не верное, но близко к правде, если исправить x на y и чуть досчитать.
Похожие вопросы
Предмет: Русский язык, автор: софьячубик
Слово вулкан означает огонь , а кроме того, вулкан-это раскаленные камни, кипящая вода, горячий воздух. Все четыре стихии заключены в одном создании
природы. Наверное, поэтому людям очень трудно найти общий язык с непростым и удивительным творением Земли. Каждый год извергаются 50-60 вулканов . Одни вулканы срабатывают очень редко.Фудзияма в Японии просыпается один раз в сто лет. Хельгальфель в Исландии молчал и вовсе больше пяти тысяч лет! Зато когда проснулся, вода в порту возле него нагрелась так, что вся рыба сварилась. Шесть месяцев после извержения сыпался на городок рыбаков пепел, запорошив половину домов. К счастью , жителей успели увезти из города на вертолетах. А вот когда неожиданно проснулся Везувий ( это случилось в 79 году), вертолетов еще не изобрели, и три города утонули под пеплом и лавой. Только через 1700 лет археологи нашли эти города с людьми, со всеми вещами, с едой-все осталось так, как было в день, когда проснулся Везувий. Он просыпался еще несколько раз. И сейчас ученые пристально наблюдают за его поведением. Есть вулканы , которые и не думают притворяться спящими, они дымят не переставая , как Исалько в Сальвадоре. Каждые десять минут из него вылетают камни, пепел, пар и вытекает лава. Около 18 вулканов на Земле извергаются в данный момент.

Из 10 предложения выписать все существительные указать род число склонение и падеж