Предмет: Алгебра,
автор: frost9744
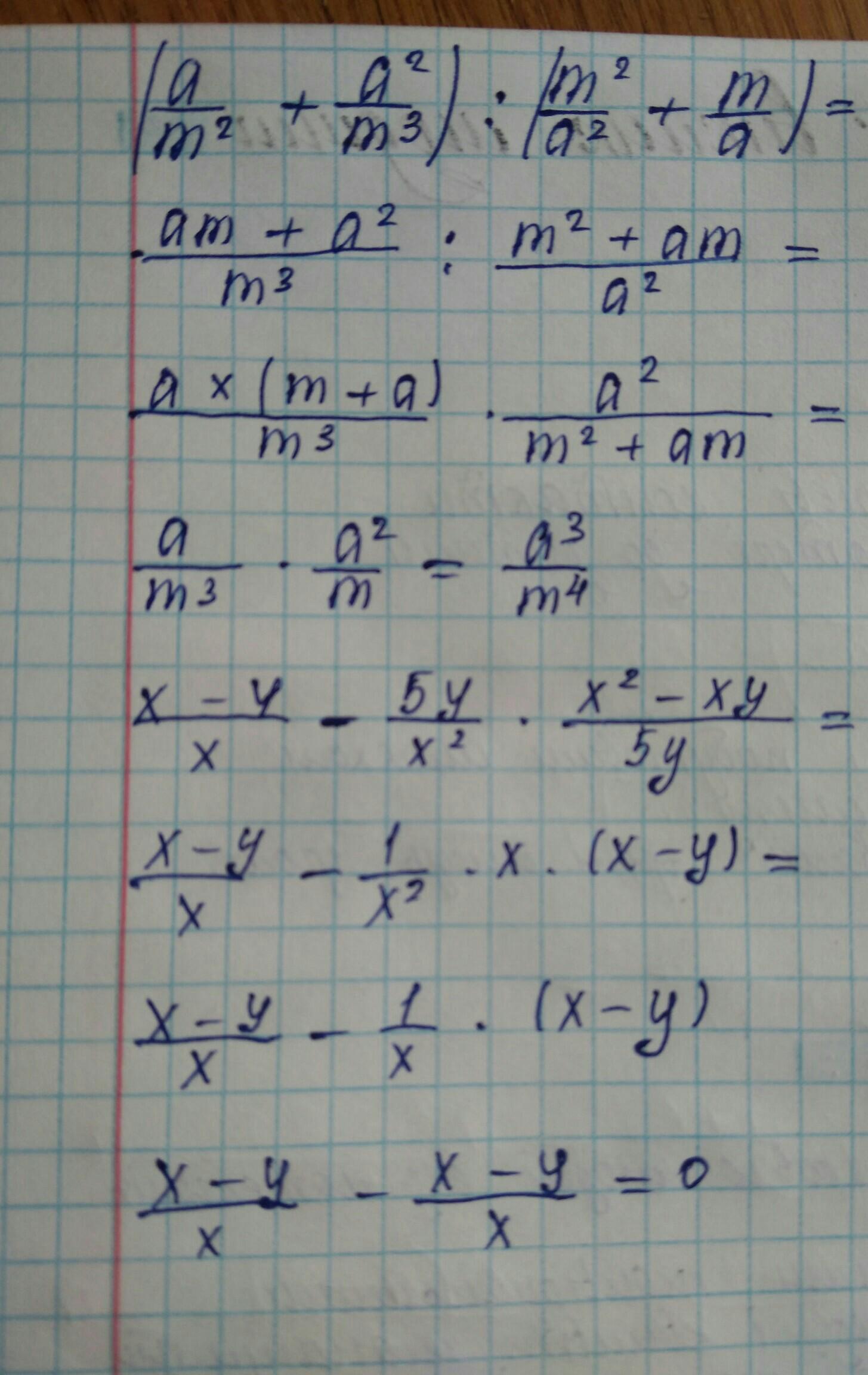
помогите пожалуйста,за ранние спасибо
Приложения:
Ответы
Автор ответа:
0
Объяснение:
hgchhhvvcgghhhjvvvgghhv
Приложения:
Похожие вопросы
Предмет: Русский язык,
автор: nad29owz
Предмет: Русский язык,
автор: 561844210
Предмет: Русский язык,
автор: elashku
Предмет: Математика,
автор: dimonkil555
Предмет: Окружающий мир,
автор: nika04112010