Предмет: Алгебра,
автор: 6lookiii6
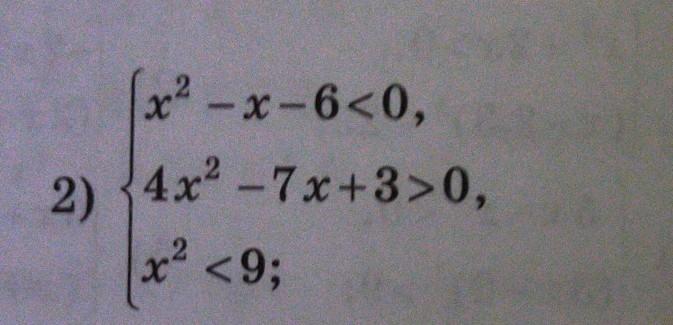
Срочно помогите. Нужен еще интервал
Приложения:
Ответы
Автор ответа:
1
Ответ:
............................
Приложения:
6lookiii6:
Можете дописать интервал? Мне он нужен
(-бесконечность; -3) объединение (-3;-2) объединение (3/2; +бесконечность)
Предыдущий автор решил правлильно, а я нет.
Похожие вопросы
Предмет: Другие предметы,
автор: юля1078
Предмет: Русский язык,
автор: Злой0Котэ
Предмет: Английский язык,
автор: dontworrybehappy
Предмет: Русский язык,
автор: Аноним
Предмет: Биология,
автор: golikova5