Предмет: Алгебра,
автор: OtlichnikSKA
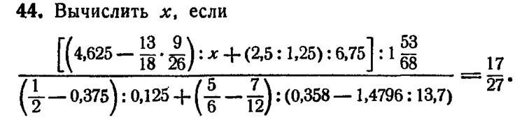
Вычислите х, если... РЕШИТЕ ПОЖАЛУЙСТА ПОДРОБНО. ДАМ 30 БАЛЛОВ!
Приложения:
Ответы
Автор ответа:
0
14,875
Решение задания прилагаю
Приложения:
Похожие вопросы
Предмет: Русский язык,
автор: Koshka1982
Предмет: Английский язык,
автор: 1alenka1994
Предмет: Русский язык,
автор: осса
Предмет: Математика,
автор: LoGGaN1
Предмет: Другие предметы,
автор: Fintle