Предмет: Алгебра,
автор: Аноним
помогите пж b,c пж без графики
Приложения:
Ответы
Автор ответа:
0
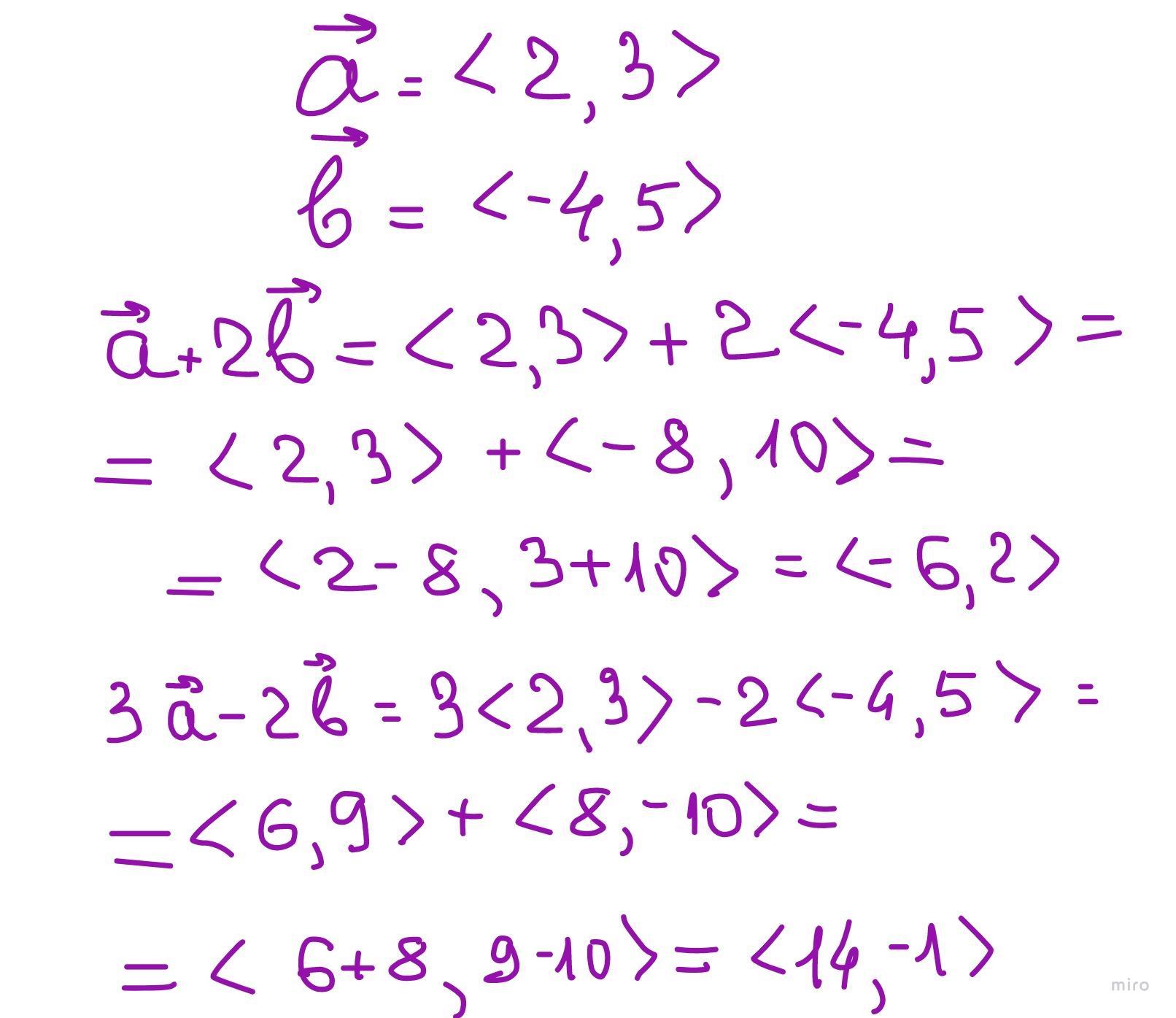
Ответ:
смотри фото
Объяснение:
Приложения:
Похожие вопросы
Предмет: Русский язык,
автор: vika2003olego
Предмет: Русский язык,
автор: acermasha2005com21
Предмет: Английский язык,
автор: Annchuta
Предмет: Геометрия,
автор: potatoessad
Предмет: Математика,
автор: Gameroot360