Предмет: Алгебра,
автор: kirillkuchman7002
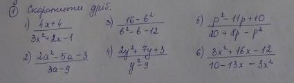
Нужно сократить дробь. Сделайте хоть что то, пожалуйста.
Приложения:
Ответы
Автор ответа:
0
Продолжение в следущем ответе
Объяснение:
Приложения:
Похожие вопросы
Предмет: Русский язык,
автор: АнюткаКуткина
Предмет: Английский язык,
автор: Трюфель145
Предмет: Русский язык,
автор: АнюткаКуткина
Предмет: Информатика,
автор: PIUKC
Предмет: Математика,
автор: anastasiyabuki