Предмет: Математика,
автор: addblocker
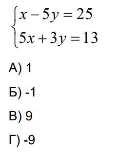
СРОЧНО!!! в 3 просто решить систему
Приложения:
Ответы
Автор ответа:
0
Ответ:
это вариант б ,я решала методом додаванння б
Похожие вопросы
Предмет: Английский язык,
автор: Glisskur
Предмет: Русский язык,
автор: ToraleiStripe
Предмет: Русский язык,
автор: Rutum
Предмет: Алгебра,
автор: VanekProst