Предмет: Алгебра,
автор: kundikvaleria733
подайте у вигляді степеня
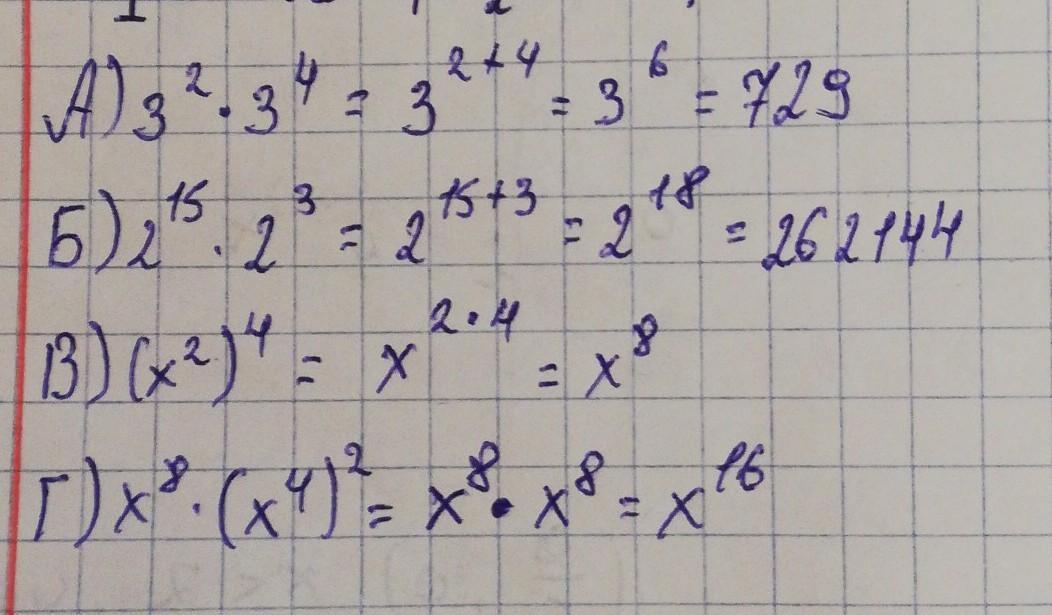
А) 3²×3⁴
Б)2¹⁵×2³
В)(х²)⁴
Г) х⁸×(х⁴)²
Ответы
Автор ответа:
1
Ответ:
- 729
- 262144
- x8
- x 16
Вот объяснение в тетрадье, посмотри
Приложения:
Похожие вопросы
Предмет: Русский язык,
автор: Настя2456112354
Предмет: Другие предметы,
автор: Ronidara
Предмет: Русский язык,
автор: kdkkdk06
Предмет: Химия,
автор: Miss0tiful
Предмет: Английский язык,
автор: Jason0