Предмет: Алгебра,
автор: eltaevsardar
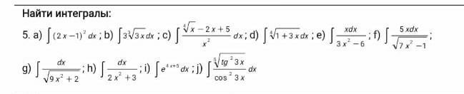
Помогите пж
Заранее спасибо
Приложения:
Ответы
Автор ответа:
1
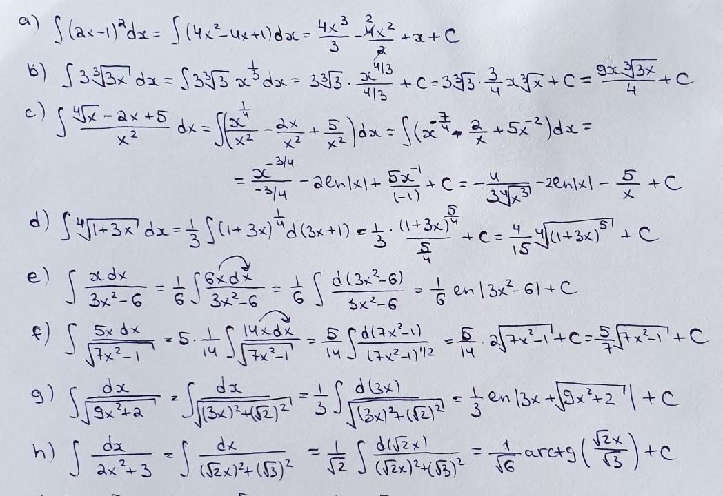
Ответ:
решение на фотографиях
Приложения:
eltaevsardar:
Большое спасибо
Думал не ответите
я это задание два раза кидал
Можете в мой профиль зайти и там же ответить
Похожие вопросы
Предмет: Английский язык,
автор: Carina12345675222
Предмет: Окружающий мир,
автор: missschirobokov
Предмет: Русский язык,
автор: nastya11041
Предмет: Математика,
автор: Kamila08072006
Предмет: Математика,
автор: Аяззиг