Предмет: Химия,
автор: en1488
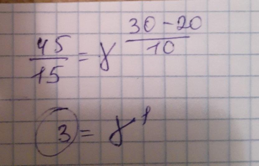
Вычислить температурный коэффициент реакции,если при 20°С данная реакция протекает за 45 минут, а при 30°С - за 15 минут
Ответы
Автор ответа:
1
Ответ:
ответ. 3. ........................
Приложения:
Похожие вопросы
Предмет: Английский язык,
автор: алиночка105
Предмет: Русский язык,
автор: Aylaalljahverdi
Предмет: Другие предметы,
автор: enot1515
Предмет: Биология,
автор: dvorek20
Предмет: Русский язык,
автор: taisiyazhurave