Предмет: Математика,
автор: iziqwer228
даю 25 баллов за задание помогите пожалуйст
Приложения:
Ответы
Автор ответа:
2
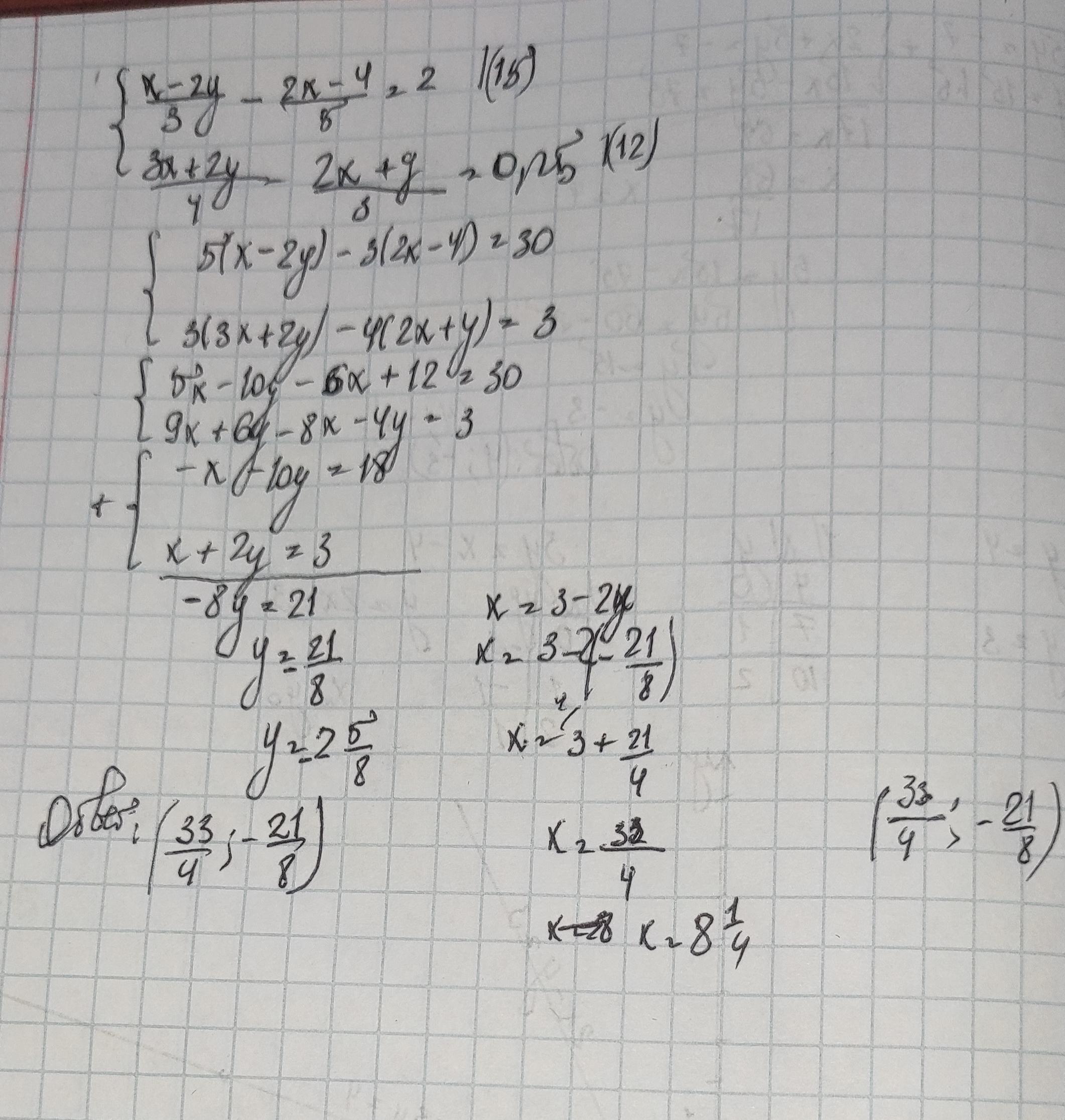
Ответ: (33/4; -21/8)
Решение к заданию на фото.
Приложения:
Автор ответа:
1
ответ на 1
{x=-18-10y
{3x+2y/4 + 2x+y/3=0,25
3(-18-10y)+2y/4 + 2(-18-10y)+y/3 =0,25
y=-309/160
x=-18-10•(-309/160)
x=21/16
x,y=(21/16);(-309/160)
ответ на 2
{-x+2y=30
{x+3y=10
ответ на 3
{-x+2y=30
{x+3y=10
{-x+2y=30
{x=10-3y
-(10-3y)+2y=30
y=8
x=10-3•8
x=-14
ответ: x,y=(-14;8)
{x=-18-10y
{3x+2y/4 + 2x+y/3=0,25
3(-18-10y)+2y/4 + 2(-18-10y)+y/3 =0,25
y=-309/160
x=-18-10•(-309/160)
x=21/16
x,y=(21/16);(-309/160)
ответ на 2
{-x+2y=30
{x+3y=10
ответ на 3
{-x+2y=30
{x+3y=10
{-x+2y=30
{x=10-3y
-(10-3y)+2y=30
y=8
x=10-3•8
x=-14
ответ: x,y=(-14;8)
Похожие вопросы
Предмет: Русский язык,
автор: karinavolkova3
Предмет: Английский язык,
автор: 1asd
Предмет: Английский язык,
автор: 1asd
Предмет: Русский язык,
автор: Аниса111111
Предмет: Математика,
автор: Димочка77