Предмет: Алгебра,
автор: xranitelnica00
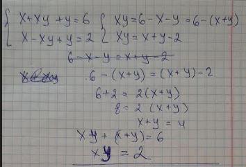
Найдите произведение х • у из системы уравнений
{ x + ху + y = 6}
{з-ху+у=2}
MadeInHeaven123:
там же в условии не 3, а х? иначе ерунда получается. Если х - сейчас пристегну решение
Ответы
Автор ответа:
0
Ответ:
Если в задании не 3, а Х, то ответ 2
Объяснение:
Приложения:
Похожие вопросы
Предмет: Другие предметы,
автор: язиля2005
Предмет: Қазақ тiлi,
автор: 66674
Предмет: Русский язык,
автор: mustafayev2004
Предмет: Русский язык,
автор: Iksenya
Предмет: Немецкий язык,
автор: milzinurowaoxrixg