Предмет: Математика,
автор: pokN14
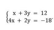
Решите систему уравнений
Приложения:
Ответы
Автор ответа:
1
Ответ:
во вложении!!!!!!!!!!
Приложения:
Автор ответа:
0
Пошаговое объяснение:
Вот ответ...............
Приложения:
Похожие вопросы
Предмет: Русский язык,
автор: юлия652
Предмет: Беларуская мова,
автор: Stasitschik
Предмет: Английский язык,
автор: AlexM13
Предмет: Русский язык,
автор: Shkuratovasofi
Предмет: Математика,
автор: MKstar707