Предмет: Алгебра,
автор: yuliaborsheva07
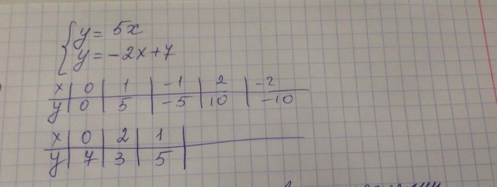
решить систему уравнений графически
у = 5х
у=-2х+7
Ответы
Автор ответа:
0
Ответ:
......... Вот...................
Приложения:
Похожие вопросы
Предмет: Английский язык,
автор: rocheva75
Предмет: Русский язык,
автор: denisfak
Предмет: Українська мова,
автор: соня20032
Предмет: Русский язык,
автор: Матрёшка5426
Предмет: Геометрия,
автор: ира1087