Предмет: Алгебра,
автор: Аноним
решите пж дам 50 балов, и прошу,без обмана❤️
Приложения:
Ответы
Автор ответа:
1
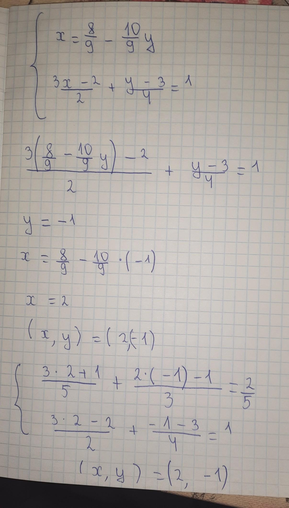
открой фото я прикрепила и там решение
Приложения:
Похожие вопросы
Предмет: Русский язык,
автор: Аноним
Предмет: Русский язык,
автор: etkeev2002s
Предмет: Другие предметы,
автор: astxikmeliksety1
Предмет: Английский язык,
автор: Taya1975