Предмет: Математика,
автор: Аноним
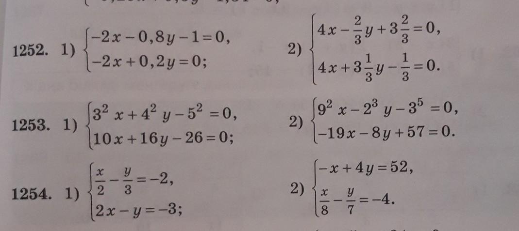
Найдите решение систем уравнений или докажите что системы не имеют решений.
Приложения:
Ответы
Автор ответа:
1
Пошаговое объяснение:
Ответ на фотографиях...
Приложения:
Похожие вопросы
Предмет: Окружающий мир,
автор: bbccc
Предмет: Английский язык,
автор: Kati100983
Предмет: Окружающий мир,
автор: RodBlomst
Предмет: Математика,
автор: MerryGeill
Предмет: Химия,
автор: krolstra